-
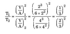
Two cubical castings of the same metal and size of 2 cm side and 4 cm side are moulded in green sand. If the smaller casting solidifies in 2 mins, the expected time of solidifications of large casting will be
-
- 16 min
- 2√2 min
- 8 min
- 4 min
- 16 min
Correct Option: C
| Solidification time = | ![]() | ![]() | 2 | |
| A |

| = | |||
| T2 | 4 |
T2 = 2× 4 = 8 min

